Economie Clasa A 11a

Manual Economie Clasa A Xi A

Manual Economie Clasa A Xi A

Economie Manual Pentru Clasa A Xi A Ilie Gavrilă Paul Tănase Ghiță Dan Nițescu Constantin Popescu

Economie Manual Pentru Clasa A Xi A Ilie Gavrilă Paul Tănase Ghiță Dan Nițescu Constantin Popescu

Economie Caiet De Lucru

Economie Caiet De Lucru

Pdf Sinteza Economie Clasa A Xi A Daniela Botosneanu Academia Edu

Pdf Sinteza Economie Clasa A Xi A Daniela Botosneanu Academia Edu

Economie Manual Clasa A Xi A Ilie Gavrila Paul Tanase Dan Nitescu Constantin Popescu

Economie Manual Clasa A Xi A Ilie Gavrila Paul Tanase Dan Nitescu Constantin Popescu

Georgeta Georgescu Economie Clasa A Xi A Libraria Mihai Eminescu

Georgeta Georgescu Economie Clasa A Xi A Libraria Mihai Eminescu

Georgeta Georgescu Economie Clasa A Xi A Libraria Mihai Eminescu

Economie Clasa 11 Manuale Scolare Librariadelfin Ro

Economie Clasa 11 Manuale Scolare Librariadelfin Ro

Piata Monetara Economie Clasa A Xi A Discipline Economice Facebook

Piata Monetara Economie Clasa A Xi A Discipline Economice Facebook

Economie Manual Pentru Clasa A Xi A Toate Filierele Profilurile Si Specializarile Georgescu Georgeta 16 95 Lei Librariaonline Ro

Economie Manual Pentru Clasa A Xi A Toate Filierele Profilurile Si Specializarile Georgescu Georgeta 16 95 Lei Librariaonline Ro

Economie Manual Pentru Cl A Xi A Editura Sigma

Economie Manual Pentru Cl A Xi A Editura Sigma

Economie Manual Pentru Clasa A Xi A Monica Dudian Monica Dudian 26 49 Lei Librariaonline Ro

Economie Manual Pentru Clasa A Xi A Monica Dudian Monica Dudian 26 49 Lei Librariaonline Ro

Formule Economie By Mihaescu Mihai Issuu

Formule Economie By Mihaescu Mihai Issuu

Carti Manuale Clasa 11 Pret De La 8 67 Lei Libris

Carti Manuale Clasa 11 Pret De La 8 67 Lei Libris

Economie Manual Pentru Clasa A Xi A Ilie Gavrila Paul Tanase Ghita Dan Nitescu Constantin Popescu Economica Preuniversitara Emag Ro

Economie Manual Pentru Clasa A Xi A Ilie Gavrila Paul Tanase Ghita Dan Nitescu Constantin Popescu Economica Preuniversitara Emag Ro

Economie Clasa A Xi A By Petru Damaschin On Prezi Next

Economie Clasa A Xi A By Petru Damaschin On Prezi Next

Teza Economie Semestrul I

Teza Economie Semestrul I

Economie Corint Pdf

Economie Corint Pdf

Economie Manual Pentru Clasa A Xi A De Dorel Ailenei Elena Balan Humanitas Educational

Economie Manual Pentru Clasa A Xi A De Dorel Ailenei Elena Balan Humanitas Educational

Economie Manual Pentru Clasa A Xi A Emag Ro

Economie Manual Pentru Clasa A Xi A Emag Ro

Cauti Manual Economie Clasa A 11 A Gavrila Ghita Nitescu Popescu Vezi Oferta Pe Okazii Ro

Cauti Manual Economie Clasa A 11 A Gavrila Ghita Nitescu Popescu Vezi Oferta Pe Okazii Ro

Manual De Economie

Manual De Economie

Carte Economie Xi Olx Ro

Carte Economie Xi Olx Ro

Test Initial Economie 2011

Test Initial Economie 2011

Teste Grila Economie F F F Bune

Teste Grila Economie F F F Bune

Economie Manual Pentru Clasa A Xi A Ciclul Superior Al Liceului Gheorghe Cretoiu

Economie Manual Pentru Clasa A Xi A Ciclul Superior Al Liceului Gheorghe Cretoiu

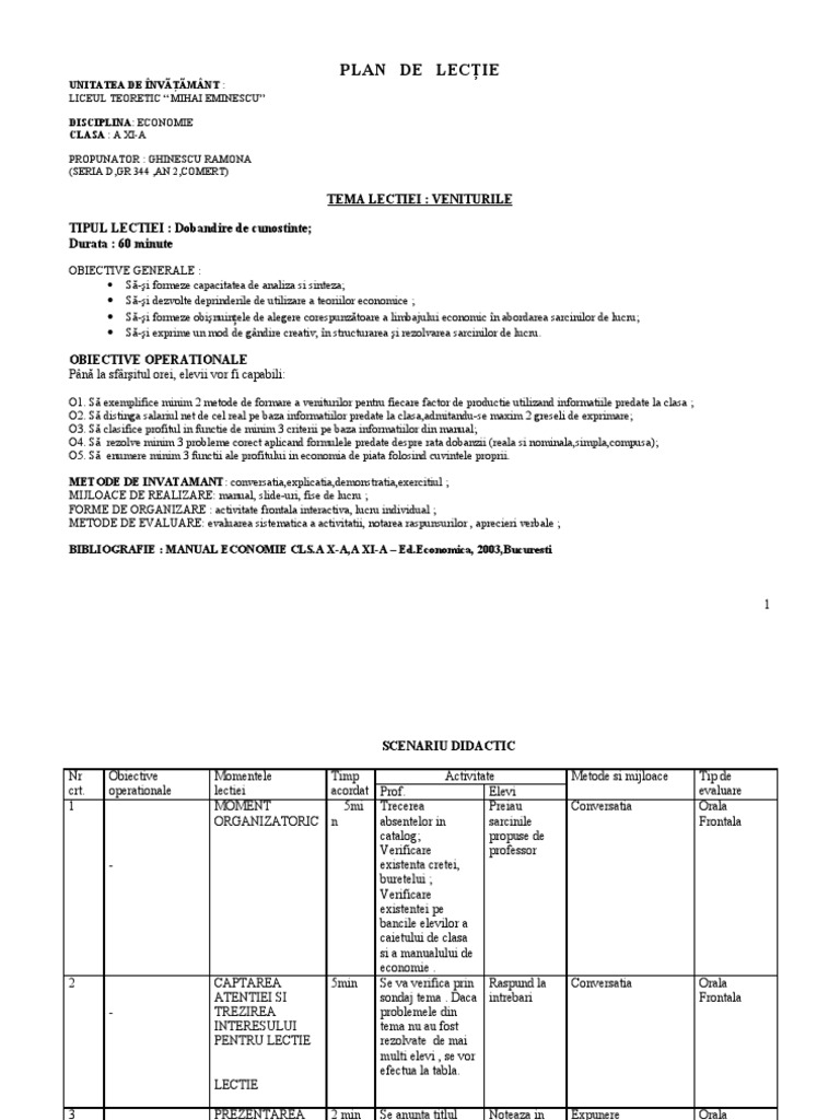
Plan De Lectie Economie

Plan De Lectie Economie

Economie Manual Pentru Clasa A Xi A Autor Monica Dudian Emag Ro

Economie Manual Pentru Clasa A Xi A Autor Monica Dudian Emag Ro

Test Initial Economie Aplicata Economics Studocu

Test Initial Economie Aplicata Economics Studocu

Economie Aplicatii Teste Probleme Raspunsuri Clasa A Xi A Evitalshop

Economie Aplicatii Teste Probleme Raspunsuri Clasa A Xi A Evitalshop

Blog Archives Gugumobility

Blog Archives Gugumobility

Source : pinterest.com